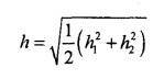
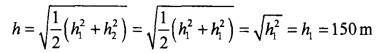
1.法律明文规定该项目环评报告书中必须要有的文件是(B)。 A.水资源论证报告 B.水土保持方案 C.煤质分析报告 D.项目建议书 2.根据该项目备选取水方案,确定推荐的取水方案,并说明原因。 答:推荐的取水方案为B,以煤矿矿坑排水作为水源。城市污水处理厂建成前,方案A水库水可做备用水源;城市污水处理厂建成后,优选方案C城市污水处理厂中水做备用水源。 3.请计算该项目两个烟囱的等效烟囱高度和位置。 答:两个烟囱的等效烟囱高度为150m,位于两个排气筒连线的中点上、距两个烟囱均为50m。计算过程如下: (1)等效烟囱高度h式中:h1,h2——烟囱1和烟囱2的高度。因h1=h2=15Om,则:
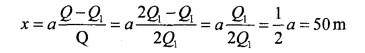
(2)等效烟囱位于烟囱1和烟囱2的连线上,以烟囱1为原点,等效排气筒距原点的距离x: 式中:a——烟囱1和烟囱2的距离,100m; Q1——烟囱1的污染物排放速率,kg/h; Q——等效烟囱的污染物排放速率,Q=Q1+Q2,Q2为烟囱2的污染物排放速率,kg/h。 因Q1=Q2,则Q=2Q1,计算X得:
4.该项目是否符合总量控制要求? 答该项目符合总量控制要求。因为该项目计划通过淘汰本地区污染严重的小焦化厂的区域削减措施来为该项目提供总量来源。该项目SO2排放总量636t/a,区域削减SO2排放总量1000t/a;该项目NOx排放总量829t/a,区域削减烟尘排放总量1000t/a;该项目烟尘排放总量128t/a,区域削减烟尘排放总量166t/a。S02、NOx和烟尘区域削减量均大于该项目增加量,由此总量来源落实。 【考点分析】 1.法律明文规定本项目环评报告书中必须要有的文件是(B)。 A.水资源论证报告 B.水土保持方案 C.煤质分析报告 D.项目建议书 《环境影响评价案例分析》考试大纲中“一、相关法律法规运用和政策、规划的符合性分析(1)分析建设项目环境影响评价中运用的法律法规的适用性”。 举一反三: 本案例项目位于山区,1991年6月29日通过的《中华人民共和国水土保持法》第十九条规定:“在山区、丘陵区、风沙区修建铁路、公路、水工程,开办矿山企业、电力企业和其他大中型工业企业,在建设项目环境影响报告书中,必须有水行政主管部门同意的水土保持方案。”故B是正确答案。水资源论证报告、煤质分析报告、项目建议书虽然也是环评的重要参考文件,但没有法律明文规定是环评报告中必需的。 2.根据该项目备选取水方案,确定推荐的取水方案,并说明原因。 《环境影响评价案例分析》考试大纲中“一、相关法律法规运用和政策、规划的符合性分析(2)分析建设项目与相关环境保护政策及产业政策的符合性”和“二 项目分析(4)不同工程方案(选址、规模、工艺等)的分析比选”。 举一反三: 发改能源[2004]864号文件《国家发展改革委关于燃煤电站项目规划和建设有关要求的通知》要求“在北方缺水地区,新建、扩建电厂禁止取用地下水,严格控制使用地表水,鼓励利用城市污水处理厂的中水或其他废水……坑口电站项目首先考虑使用矿井疏干水”。 该项目位于富煤地区,周围煤矿密集,属坑口电站,首先考虑使用矿井疏干水作为水源(方案B);该项目位于北方缺水地区,鼓励利用城市污水处理厂的中水(方案C),严格限制使用地表水(方案A)。 3.请计算该项目两个烟囱的等效高度和位置。 《环境影响评价案例分析》考试大纲中“二、项目分析(1)分析建设项目生产工艺过程的产污环节、主要污染物、资源和能源消耗等,给出污染源强,生态影响为主的项目还应根据工程特点分析施工期和运营期生态影响的因素和途径”。 4.该项目是否符合总量控制要求? 《环境影响评价案例分析》考试大纲中“六、环境保护措施分析(4)分析污染物排放总量情况”。 举一反三: 国函[2006]70号《国务院关于“十一五”期间全国主要污染物排放总量控制计划的批复》规定,一般地区总量控制因子为两个:化学需氧量和二氧化硫,在国家确定的水污染防治重点流域、海域专项规划中还需补充氨氮(总氮)、总磷等污染物总量控制要求。 国发[2011]26号“国务院关于印发‘十二五’节能减排综合性工作方案的通知”要求“2015年,……全国氨氮和氮氧化物排放总量分别控制在238.0万吨、2046.2万吨,比2010年的264.4万吨、2273.6万吨分别下降10%。”“十二五”新增了氨氮和氮氧化物排放总量控制要求。 国家环保总局2006年第39号公告《关于发布火电项目环境影响报告书受理条件的公告》规定:“(三)热电站、煤矸石电厂、垃圾焚烧发电厂项目的总量指标必须明确总量指标来源。除热电站、煤矸石电厂、垃圾焚烧发电厂外,其他新建、扩建、改建常规火电项目的二氧化硫排放总量指标必须从电力行业取得。”本案例项目为煤矸石热电站,二氧化硫指标可不从电力行业取得。
问答题
煤矸石电厂项目
【素材】
某煤化公司位于北方山区富煤地区,周围煤矿密集,在煤洗选生产过程中,产出中煤和煤矸石约100万t/a,且周围现存煤矸石有600万t/a以上。该公司决定利用当地的煤矸石、中煤,安装4台超高压135MW双缸双排气凝汽式直接空冷汽轮发电机组和4台480t/h循环流化床锅炉。
该自备电厂设计煤种配比为煤矸石:中煤=22:78,校核煤种的配比为煤矸石:中煤=30:70,根据煤质检测报告,煤矸石、中煤的收到基低位发热量分别为5050kJ/kg、14600kJ/kg。锅炉采用湿法脱硫(脱硫效率95%)、电袋除尘(效率99.9%)后,烟气经2座150m高钢筋混凝土烟囱排入大气(2台炉合用一座烟囱),两座烟囱相距100m。该项目SO2排放总量636t/a,NOx排放总量829t/a,烟尘排放总量128t/a,计划通过淘汰本地区污染严重的小焦化厂6家,削减SO2排放总量1000t/a、NOx排放总量1000t/a、烟尘排放总量166t/a,作为本项目总量来源。
该项目位于北方缺水地区,电厂生活用水采用煤化公司自备井提供的自来水;生产用水有三个备选取水方案:A方案是以项目南15km处的水库为水源;B方案是以项目5km以内附近多家煤矿矿坑排水作为水源;C方案是以项目往南10km处拟建中的城市污水处理厂中水作为水源。上述三个备选水源水质水量均满足电厂用水要求。
【问题】
1.法律明文规定该项目环评报告书中必须要有的文件是( )。
A.水资源论证报告 B.水土保持方案
C.煤质分析报告 D.项目建议书
2.根据该项目备选取水方案,确定推荐的取水方案,并说明原因。
3.请计算该项目两个烟囱的等效烟囱高度和位置。
4.该项目是否符合总量控制要求?
正确答案
答案解析
略
式中:h1,h2——烟囱1和烟囱2的高度。因h1=h2=15Om,则:
(2)等效烟囱位于烟囱1和烟囱2的连线上,以烟囱1为原点,等效排气筒距原点的距离x:
式中:a——烟囱1和烟囱2的距离,100m;
Q1——烟囱1的污染物排放速率,kg/h;
Q——等效烟囱的污染物排放速率,Q=Q1+Q2,Q2为烟囱2的污染物排放速率,kg/h。
因Q1=Q2,则Q=2Q1,计算X得:
4.该项目是否符合总量控制要求?
答该项目符合总量控制要求。因为该项目计划通过淘汰本地区污染严重的小焦化厂的区域削减措施来为该项目提供总量来源。该项目SO2排放总量636t/a,区域削减SO2排放总量1000t/a;该项目NOx排放总量829t/a,区域削减烟尘排放总量1000t/a;该项目烟尘排放总量128t/a,区域削减烟尘排放总量166t/a。S02、NOx和烟尘区域削减量均大于该项目增加量,由此总量来源落实。
【考点分析】
1.法律明文规定本项目环评报告书中必须要有的文件是(B)。
A.水资源论证报告 B.水土保持方案
C.煤质分析报告 D.项目建议书
《环境影响评价案例分析》考试大纲中“一、相关法律法规运用和政策、规划的符合性分析(1)分析建设项目环境影响评价中运用的法律法规的适用性”。
举一反三:
本案例项目位于山区,1991年6月29日通过的《中华人民共和国水土保持法》第十九条规定:“在山区、丘陵区、风沙区修建铁路、公路、水工程,开办矿山企业、电力企业和其他大中型工业企业,在建设项目环境影响报告书中,必须有水行政主管部门同意的水土保持方案。”故B是正确答案。水资源论证报告、煤质分析报告、项目建议书虽然也是环评的重要参考文件,但没有法律明文规定是环评报告中必需的。
2.根据该项目备选取水方案,确定推荐的取水方案,并说明原因。
《环境影响评价案例分析》考试大纲中“一、相关法律法规运用和政策、规划的符合性分析(2)分析建设项目与相关环境保护政策及产业政策的符合性”和“二 项目分析(4)不同工程方案(选址、规模、工艺等)的分析比选”。
举一反三:
发改能源[2004]864号文件《国家发展改革委关于燃煤电站项目规划和建设有关要求的通知》要求“在北方缺水地区,新建、扩建电厂禁止取用地下水,严格控制使用地表水,鼓励利用城市污水处理厂的中水或其他废水……坑口电站项目首先考虑使用矿井疏干水”。
该项目位于富煤地区,周围煤矿密集,属坑口电站,首先考虑使用矿井疏干水作为水源(方案B);该项目位于北方缺水地区,鼓励利用城市污水处理厂的中水(方案C),严格限制使用地表水(方案A)。
3.请计算该项目两个烟囱的等效高度和位置。
《环境影响评价案例分析》考试大纲中“二、项目分析(1)分析建设项目生产工艺过程的产污环节、主要污染物、资源和能源消耗等,给出污染源强,生态影响为主的项目还应根据工程特点分析施工期和运营期生态影响的因素和途径”。
4.该项目是否符合总量控制要求?
《环境影响评价案例分析》考试大纲中“六、环境保护措施分析(4)分析污染物排放总量情况”。
举一反三:
国函[2006]70号《国务院关于“十一五”期间全国主要污染物排放总量控制计划的批复》规定,一般地区总量控制因子为两个:化学需氧量和二氧化硫,在国家确定的水污染防治重点流域、海域专项规划中还需补充氨氮(总氮)、总磷等污染物总量控制要求。
国发[2011]26号“国务院关于印发‘十二五’节能减排综合性工作方案的通知”要求“2015年,……全国氨氮和氮氧化物排放总量分别控制在238.0万吨、2046.2万吨,比2010年的264.4万吨、2273.6万吨分别下降10%。”“十二五”新增了氨氮和氮氧化物排放总量控制要求。
国家环保总局2006年第39号公告《关于发布火电项目环境影响报告书受理条件的公告》规定:“(三)热电站、煤矸石电厂、垃圾焚烧发电厂项目的总量指标必须明确总量指标来源。除热电站、煤矸石电厂、垃圾焚烧发电厂外,其他新建、扩建、改建常规火电项目的二氧化硫排放总量指标必须从电力行业取得。”本案例项目为煤矸石热电站,二氧化硫指标可不从电力行业取得。