试题详情
首页
考试分类
首页
注册电气工程师
电气工程师基础专业知识(基础考试)
单选题
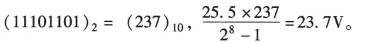
有一个8位D/A转换器,设它的满度输出电压为25.5V,当输入数字量为11101101时,输出电压为( )V。
A
12.5
B
12.7
C
23.7
D
25
查看答案
正确答案
答案解析
相关试题
首页
每日一练
打赏一下
浏览记录