试题详情
首页
考试分类
首页
注册电气工程师
电气工程师基础专业知识(基础考试)
单选题
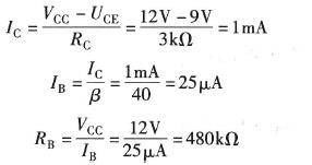
A
600kΩ
B
240kΩ
C
480kΩ
D
360vΩ
查看答案
正确答案
答案解析
相关试题
首页
每日一练
打赏一下
浏览记录