单选题
在忽略线路的电阻损失后,送电线路的波阻抗及自然功率是判断线路输电能力的重要参数。当线路输送自然功率时,沿全线的电压、电流数值均保持不变,线路产生的无功和消耗的无功相抵消。线路输送功率大于自然功率时,送端电压高于受端电压。线路无功损耗由系统供给。下面请计算:
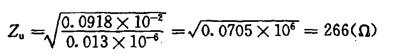
某500kV单回送电线路,导线4X LGJ—400/50,其单位长度正序电感0.0918X1O-2H/km,正序电容0.013X10-6F/km,线路波阻抗为()Ω。
A255;
B266;
C285;
D300。
正确答案
答案解析
解答过程:根据《电力工程髙压送电线路设计手册》(第二版)24页式(2-1-41)
