1.首先计算各种销售量的专家预估概率平均值: 专家估计销售量为80吨的概率平均值为 (10+15+10+5+10+10+5+5+5+0+10+10+10+0+5)/15=7.332.计算出专家估计销售量的期望值:
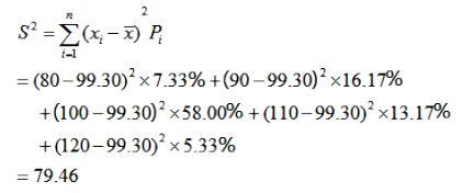
3.计算销售量的方差、标准差和离散系数: 方差
标准差S=8.91; 离散系数β=8.91/99.30=0.09。
问答题
某投资项目决策分析与评价中采用的市场销售量为100吨。为分析销售量的风险情况,请了15位专家对该种产品销售量可能出现的状态及其概率进行预测,专家意见整理见下表。
【问题】
请依据该表计算销售量的概率分布指标(均值、期望值、方差及离散系数)。
专家调查意见汇总表


正确答案
答案解析
略
2.计算出专家估计销售量的期望值:
3.计算销售量的方差、标准差和离散系数:
方差
标准差S=8.91;
离散系数β=8.91/99.30=0.09。