试题详情
首页
考试分类
首页
期货从业资格
期货投资分析
单选题
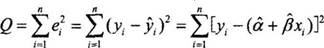
( )最小。
A
TSS
B
ESS
C
残差
D
RSS
查看答案
正确答案
答案解析
达到最小,这就是最小二乘准则(原理)。RSS为残差平方和。
相关试题
首页
每日一练
打赏一下
浏览记录