单选题
以下关于现值的说法,正确的是( )。
A当给定终值时,贴现率越高,现值越低
B当给定利率及终值时,取得终值的时间越长,该终值的现值就越高
C在其他条件相同的情况下,按单利计息的现值要低于用复利计息的现值
D利率为正时,现值大于终值
正确答案
答案解析
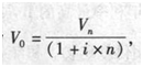
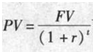
B项,根据复利现值公式可知,当给定利率及终值时,取得终值的时间越长,该终值的现值就越低;C项,单利现值公式为
在其他条件相同的情况下,按单利计息的现值要高于用复利计息的现值;D项,利率为正时,现值小于终值。
可知,当给定利率及终值时,取得终值的时间越长,该终值的现值就越低;C项,单利现值公式为
在其他条件相同的情况下,按单利计息的现值要高于用复利计息的现值;D项,利率为正时,现值小于终值。