试题详情
首页
考试分类
首页
(初级)银行从业资格
个人理财
单选题
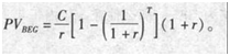
下列公式中,属于期初年金现值公式的是( )。
A
A
B
B
C
C
D
D
查看答案
正确答案
答案解析
(期末)年金现值的公式为:
期初年金现值等于期末年金现值的(1+r)倍即:
相关试题
首页
每日一练
打赏一下
浏览记录