单选题
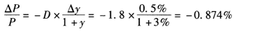
某2年期债券久期为1.8年,债券目前价格为105.00元,市场利率为3%,假设市场利率上升50个基点,则按照久期公式计算,该债券价格( )。
A上涨0.874%
B下跌0.917%
C下跌0.874%
D上涨0.917%
正确答案
答案解析
久期(也称持续期)用于对固定收益产品的利率敏感程度或利率弹性的衡量。在市场利率有微小改变时,固定收益产品价格的变化可以表示为:
A上涨0.874%
B下跌0.917%
C下跌0.874%
D上涨0.917%
久期(也称持续期)用于对固定收益产品的利率敏感程度或利率弹性的衡量。在市场利率有微小改变时,固定收益产品价格的变化可以表示为: