单选题
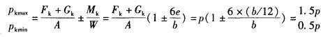
独立高耸水塔基础采用正方形基础,基底平均压力值为p,偏心距e控制值为e=b/12, (b为基础底面宽度),验算偏心荷载作用下基底压力时,下列( )选项是正确的。
Apmax =1.4p; pmin =0. 6p
Bpmax =1.5p; pmin =0. 5p
Cpmax=1.6P; pmin=0. 4p
Dpmax =2p; pmin =0
正确答案
答案解析
由于e =b/12<b/6,则最大、最小压力分别为:
