单选题
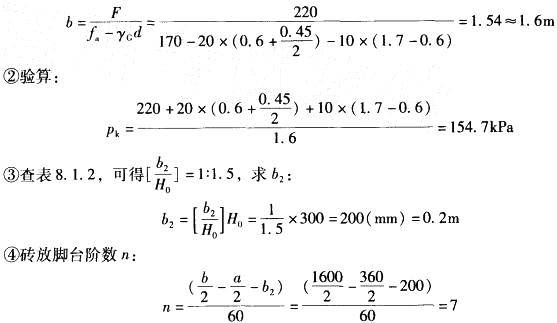
已知条形基础受轴心荷载F=220kN/m,基础埋深1.7m,室内外高差0.45m,地下水位位于地面以下0.6m处,修正后的地基承载力特征值170kPa,基础底部采用灰土基础,H0=300mm,其上为砖基础,砖墙厚度为360mm,则按二一间隔收砌法需砖基础高度为( )m。
AA: 0.22
B0.38
C0.54
D0. 66
正确答案
答案解析
根据《建筑地基基础设计规范》(GB 50007 — 2002)第8. 1. 2条,计算如下: ①基础宽度b:由砖基础采用二一间隔收砌法,其高度应该是11层砖,则: h= 11×60 = 660mm = 0. 66m。
由砖基础采用二一间隔收砌法,其高度应该是11层砖,则:
h= 11×60 = 660mm = 0. 66m。