单选题
某黄土场地采用碱液法处理,灌注孔成孔深度为4. 8m,注液管底部距地表距离为 1.2m,碱液充填系数为0.7,工作条件系数为1.1, 土体天然孔隙比为1.0,按《建筑地基处理技术规范》(JGJ 79—2002)计算。
(2)如单孔碱液灌注量为900L,加固厚度为( )m。
A4.0
B4.02
C5.2
D5.22
正确答案
答案解析
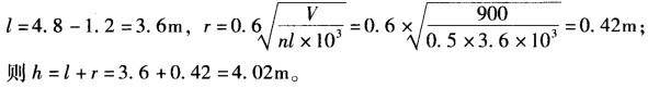
根据《建筑地基处理技术规范》(JGJ 79—2002)第16. 2. 7 ~ 16. 2. 8条,加固厚度 的计算公式为:h=l+r。 式中,l为灌注孔长度,从注液管底部到灌注孔底部的距离;r为有效加固半径。
