单选题
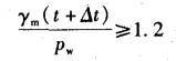
基坑开挖深度为6m, 土层依次为人工填土、黏土和砾砂,如图7-7所示。黏土层,y = 19.0kN/m3, c=20kPa,φ=20°。砂层中承压水水头高度为9m。基坑底至含砾粗砂层顶面的距离为4m。抗突涌安全系数取1.20,为满足抗承压水突涌稳定性要求,场地承压水最小降深最接近于下列哪个选项?( )


A1.4m
B2. 1m
C2. 7m
D4.0m
正确答案
答案解析
根据《建筑地基基础设计规范》(GB 50007-2002)附录W第W. 0. 1条,当上部为不透水层,坑底某深度处有承压水时,坑底抗渗流稳定性![]()
