单选题
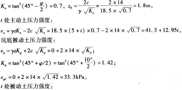
某基坑位于均匀软弱黏性土场地,如图7-10所示。土层主要参数:y= 18.5kN/m3,固结不排水强度指标ck=14kPa,φk=10°。基坑开挖深度为5.0m。拟采用水泥土墙支护,水泥土重度为20.0kN/m3,挡墙宽度为3.0m。根据《建筑基坑支护技术规程》(JGJ 120—1999)计算水泥土墙嵌固深度设计值,该值最接近下列哪个选项的数值?( )


A2.0m
B2. 2m
C2. 5m
D2. 8m
正确答案
答案解析
具体计算如下:![]()
