单选题
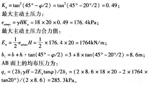
浅埋洞室半跨b=3.0m,高h=8m。如图7-14所示。上覆松散体厚度H=20m,容重y= 18kN/m3。黏聚力c=0,内摩擦角φ=20°。用太沙基理论求AB面上的均布压力最接近于( )kN/m2。


A421
B382
C315
D285
正确答案
答案解析
根据题意计算如下: 主动土压力系数:

A421
B382
C315
D285
根据题意计算如下: 主动土压力系数: