单选题
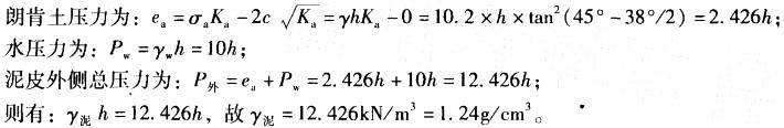
在密实砂土地基中进行地下连续墙的开槽施工,地下水位与地面齐平,砂土的饱和重度ysat=20.2kN/m3,内摩擦角φ=38°,黏聚力c=0,采用水下泥浆护壁施工。槽内的泥浆与地面齐平,形成一层不透水的泥皮。为了使泥浆压力能平衡地基砂土的主动土压力,使槽壁得持稳定,泥浆比重至少应达到( )g/cm3。
A1.24
B1.35
C1.45
D1.56
正确答案
答案解析
根据题意计算如下:
