单选题
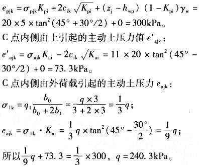
基坑剖面如图7-16所示,已知砂土的重度y=20kN3,φ=30°,c=0,计算土压力时,如果C点主动土压力值达到被动土压力值的1/3,则基坑外侧所受条形附加荷载q最接近下列( )kPa。


A80
B120
C180
D240
正确答案
答案解析
根据《建筑基坑支护技术规程》(JGJ120—1999)第 3.4节、第 3.5 节,C 点埋深11m,小于b0+3b1=3+3×3= 12m,在支护结构外侧荷载影响范围之内,具体分析如下:C点外侧被动土压力epjk :
