单选题
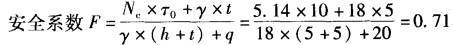
某开挖深度h=5m的基坑,土层为软土,重度y=18kN/m3,τ0=10kPa,φ=0,支护结构入土深度t=5m,坑顶地面荷载q=20kPa,设Nc=5.14,Nq=1.0,则坑底土抗隆起稳定安全系数为( )。
A0. 63
B0.71
C0.80
D0.91
正确答案
答案解析
根据《建筑地基基础设计规范》(GB 50007—2002)附录V,进行基坑底抗隆起稳定性验算:式中,Nc为承载力系数,条形基础时取Nc=5.14;τ0 为抗剪强度(kPa); y为土的重(kN/m3);t为支护结构人员土深度(m);h为基坑开挖深度(m);q为地面荷载(kPa)
式中,Nc为承载力系数,条形基础时取Nc=5.14;τ0 为抗剪强度(kPa); y为土的重(kN/m3);t为支护结构人员土深度(m);h为基坑开挖深度(m);q为地面荷载(kPa)