单选题
有一宽6.0m,高5.0m隧道位于松散岩体中,围岩等效摩擦角为40°,重度为22kN/m3,按塌落拱理论计算。
(1)均布垂直荷载为( )kPa。
A120
B140
C160
D180
正确答案
答案解析
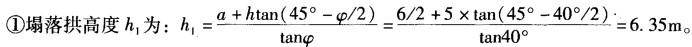
可按塌落拱理论计算,具体分析如下:式中,a为隧道的半宽;φ为等效摩擦角;h为隧道的高度。 ②均布垂直荷载q为:q=y·h1=22×6.35=139.7kPa。式中,y为围岩重度。 故该隧道围岩均布垂直荷载为139. 7kPa。
式中,a为隧道的半宽;φ为等效摩擦角;h为隧道的高度。
②均布垂直荷载q为:q=y·h1=22×6.35=139.7kPa。式中,y为围岩重度。
故该隧道围岩均布垂直荷载为139. 7kPa。