单选题
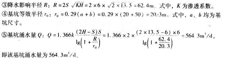
某矩形基坑位于均质粉砂土场地中,场地中粉砂土厚15m,渗透系数为2m/d,其下伏地层为泥岩,基坑尺寸为20m×50m,深7.0m,降水井深度为15m,地下水位为1.5m,基坑施工时要求水位降至基坑底面以下0.5m。基坑采用完整井群降水,附近无地表水体(基坑远离边界),按《建筑基坑支护技术规程》(JGJ120—1999)计算,基坑涌水量为( )m3/d。
A282
B334
C412
D564
