单选题
某边长为10m的正方形基坑,在每个角布置一口降水井,井群符合潜水完整井稳定流条件,含水层厚10m,单井涌水量为75m3/d,渗透系数为5m/d,潜水井影响半径为90m。请问按《建筑基坑支护技术规程》(JGJ 120—1999)计算时,基坑中心处地下水位降深为( )m。
A6.87
B2.91
C4.73
D3.73
正确答案
答案解析
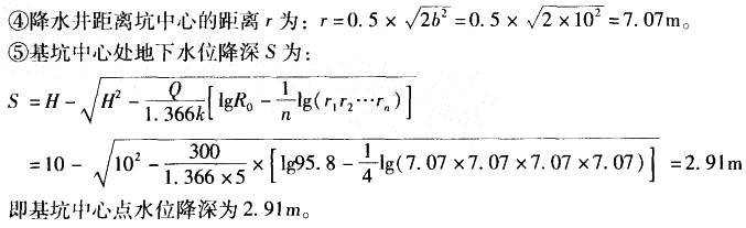
根据《建筑基坑支护技术规程》(JGJ 120—1999)第8. 3节,按潜水完整井稳定流计算如下: ①基坑等效半径r0为:r0=0.29(a+b)=0.29×(10+10)=5.80。式中,a为基坑边长,b为基坑另一边长。 ②等效半径与降水井影响半径之和R0为:R0=r0+R=5.8 +90=95.8m。 ③基坑涌水量Q为:Q=4q=4×75 =300m3/d。式中,q为单井涌水量。
