单选题
某场地抗震设防烈度为8度,场地类别为II类,设计地震分组为第一组,建筑物A和建筑物B的结构基本自振周期分别为:TA=0.2s和TB=0.4,阻尼比均为ζ=0.05,根据 《建筑抗震设计规范》,如果建筑物A和B的相应于结构基本自振周期的水平地震影响系数分别以αA和αB叫表示,试问两者的比值(αA/α
B)最接近于下列何项数值?( )
A0.83
B1.23
C1.13
D2.13
正确答案
答案解析
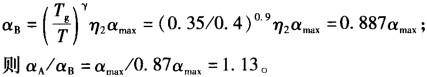
根据《建筑抗震设计规范》(GB 50011 — 2010)第5.1.4条和第5.1.5条,查表 5. 1.4-2,该场地特征周期值Tg=0.35s; 对于建筑物A,结构自振周期TA=0.2s,则αA=η2αmax=1×αmax=αmax; 对于建筑物B,结构自振周期TB=0.4s,则:
