单选题
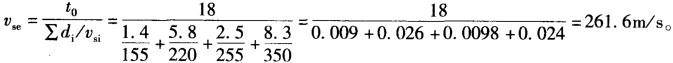
图9-2所示为某工程场地钻孔剪切波速测试的结果,据此计算确定场地土层的等效剪切波速和该场地的类别。试问下列哪个选项的组合是正确的?( )


A173m/s,I 类
B261m/s, II 类
C192m/s,III类
D290m/s,IV类
正确答案
答案解析
根据《建筑抗震设计规范》(GB 50011 —2010)第4. 1.4条第1款,可知覆盖层厚度为18m;根据式(4.1. 5-1)及式(4. 1.5-2),有:根据表4.1.6,场地类别为II类。
根据表4.1.6,场地类别为II类。