单选题
在地震基本烈度为8度的场区修建一座桥梁。场区地下水位埋深5m,场地土为:0~ 5m,非液化黏性土;5~15m,松散均匀的粉砂;15m以下为密实中砂。按《公路工程抗震设计规范》(JTJ 004—1989)计算判别深度为5 ~ 15m的粉砂层为液化土层,液化抵抗系数均为0.7。若采用摩擦桩基础,深度5?15m的单桩摩阻力的综合折减系数α应为( )。
A1/6
B1/3
C1/2
D2/3
正确答案
答案解析
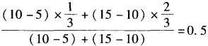
根据《公路工程抗震设计规范》(JTJ 004-1989)表2. 2. 4,当ds≤10m时,折减系数α=1/3;当10m<ds≤20m时,折减系数α=2/3;若采用摩擦桩基础,则深度5~15m的单桩摩阻力的综合折减系数α为:
