试题详情

单选题
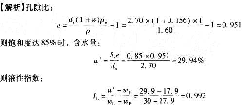
某非自重湿陷性黄土试样含水量w= 15. 6%,土粒相对密度(比重)Dr=2.70,质量密度ρ= 1.60g/cm3,液限wL= 30.0%,塑限wP=17.9%,桩基设计时需要根据饱和状态下的液性指数查取设计参数,该试样饱和度达85%时的液性指数最接近下列哪一选项? ( )

A0.85

B0.92

C0.99

D1.06

正确答案

答案解析

相关试题