单选题
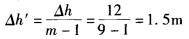
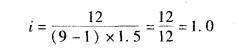
均匀砂土地基基坑,地下水位与地面齐平,开挖深12m,采用坑内排水,渗流流网如图1-4所示。各相邻等势线之间的水头损失Δh都相等,试问基底处的最大平均水力梯度最接近于下面哪一个选项的数值?( )


A0.44
B0.55
C0.80
D1.00
正确答案
答案解析
水在土中渗流时受到土的阻力因而产生水头损失。水力梯度为单位渗流长度上的水头损失。由沿网图知其等势线为m=9条,任意两等势线间水头差为:![]()
