单选题
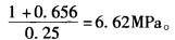
某土样固结试验成果如表1-11所示。试样天然孔隙比e0=0. 656,该试样在压力100 ~ 200kPa的压缩系数及压缩模量为( )。


Aa1-2 =0. 15MPa-1; Es1-2=11MPa
Ba1-2=0. 25MPa-1; Es1-2 =6.6MPa
Ca1-2 =0. 45MPa-1; Es1-2=3.7MPa
Da1-2 =0. 55MPa-1;Es1-2 =3.0MPa
