试题详情
首页
考试分类
首页
岩土工程师
岩土专业案例
单选题
相邻两座AB楼,由于建B楼对A楼产生附加沉降,如图1-11所示,A楼的附加沉降量接近于( )cm。
A
0.9
B
1.2
C
2.4
D
3.2
查看答案
正确答案
答案解析
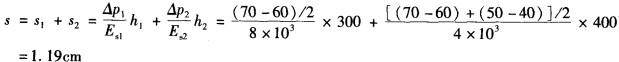
附加沉降量s可按下式计算:
相关试题
首页
每日一练
打赏一下
浏览记录