单选题
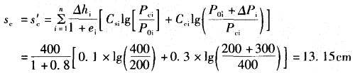
超固结黏土层厚度为4.0m,前期固结压力Pc=400kPa,压缩指数Cc=0.3,再压缩曲线上回弹指数Cs= 0.1,平均自重压力Pcx=200kPa,天然孔隙比e0=0.8,建筑物平均附加应力在该土层中为P0=300kPa,该黏土层最终沉降量最接近于( )cm。
A8.5
B11
C13.2
D15.8
正确答案
答案解析
根据《铁路特殊路基设计规范》(TB 10035-2002)第3. 2. 7条计算,有:
