单选题
原状取土器外径Dw=75mm,内径Ds=71. 3mm,刃口内径De = 70. 6mm,取土器具有延伸至地面的活塞杆,按《岩土工程勘察规范》(GB 50021 —2001)(2009年版)规定,该取土器为( )。
A面积比为12.9%,内间隙比为0.52%的原壁取土器
B面积比为12.9%,内间隙比为0.99%的固定活塞厚壁取土器
C面积比为10.6%,内间嗥比为0.99%的固定活塞薄壁取土器
D面积比为12.9%,内间隙比为0.99%的固定活塞薄壁取土器
正确答案
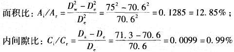
答案解析
根据《岩土工程堪察规范》(GB 50021-2001) (2009年版)附录表F. 0. 1,该取土器参数为:。 则各参数符合薄壁取土器中固定活塞取土器的要求。
。
则各参数符合薄壁取土器中固定活塞取土器的要求。