单选题
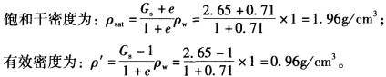
某干燥土样密度为1.55g/cm3,土粒相对密度为2.65,若使该土样饱水后,则土样的含水量、饱和密度、有效密度分别为( )。
A22.4%;1.99g/cm3; 1.05g/cm3
B24.4%; 20. 09g/cm3 ; 1.25g/cm3
C26.8%; 1. 96g/cm3 ; 0. 96 g/cm3
D28. 4% ; 1. 89g/cm3 ; 1. 23g/cm3
