单选题
某杂填土场地进行波速测试,平均剪切波波速为400m/s,平均压缩波波速度为700m/s,该场地地基土的重度为18kN/m3,场地的动弹性模量及动泊松比为( )。
A7.2×105 ; 0. 35
B3. 5×105 ; 0. 35
C3.5×105 ; 0. 26
D7. ×105 ; 0. 26
正确答案
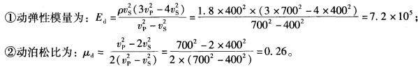
答案解析
根据《岩土工程勘察规范》(GB 50021 —2001 )(2009年版)第10. 10. 5条条文说明,有:
