单选题
如图所示,在Ⅲ类场地上建一座高为100m的钢筋混凝土烟囱。设防烈度为7度,远震,Tg=0.55s,烟囱自重的标准值Gk=18738.8kN,筒身的重心C距基础顶面H0=37.7m。
2.假定该烟囱的基本周期为2.5s,试确定与之相应的水平地震影响系数与( )项数值最为接近。
2.假定该烟囱的基本周期为2.5s,试确定与之相应的水平地震影响系数与( )项数值最为接近。A0.0154
B0.016
C0.0205
D0.041
正确答案
答案解析
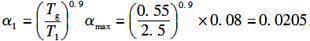
已知T1=2.5s,Tg=0.55s,根据《建筑抗震设计规范》(GB 50011—2010)第5.1.4条表5.1.4-1可得,水平地震影响系数最大值αmax=0.08,则水平地震影响系数为:由此可知,C项数值最为接近。
由此可知,C项数值最为接近。