单选题
一幢8层的钢筋混凝土框架结构,在设防烈度8度(0.2g)多遇地震的水平地震作用下的水平位移如图所示。其顶层的弹性水平位移δ8=60mm,第7层的水平位移δ7=54mm。
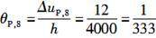
2.由(1)已算得多遇地震作用下的第8层弹性层间位移,现已知第8层的楼层屈服强度系数ξy=0.4(楼层屈服强度系数为按构件实际配筋和材料强度标准值计算的楼层受剪承载力和按罕遇地震作用标准值计算的弹性地震剪力的比值)。由此可算得该框架结构在第8层的弹塑性层间位移角θP,8=( )。
2.由(1)已算得多遇地震作用下的第8层弹性层间位移,现已知第8层的楼层屈服强度系数ξy=0.4(楼层屈服强度系数为按构件实际配筋和材料强度标准值计算的楼层受剪承载力和按罕遇地震作用标准值计算的弹性地震剪力的比值)。由此可算得该框架结构在第8层的弹塑性层间位移角θP,8=( )。A1/333
B1/220
C1/200
D1/150
正确答案
答案解析
根据《建筑抗震设计规范》(GB 50011—2010)第5.5.3条第1款规定,不超过12层且层刚度无突变的钢筋混凝土框架和框排架结构、单层钢筋混凝土柱厂房可采用本规范第5.5.4条的简化计算法。根据第5.5.4条表5.5.4可知,弹塑性层间位移增大系数ηP=2.0(当ξy=0.4时的8层框架),有:ΔuP,8=ηPΔue,8=2.0×6=12mm;根据第5.5.5条式(5.5.5)计算,弹塑性层间位移角为:
