单选题
某软弱地基采用换填法处理:
①某一内墙基础传至室内地面处的荷载值为Fk=204kN/m,基础埋深d=1.20m,已知基础自重和基础上的土重标准值二者折算平均重度γG=20kN/m3;
②换填材料采用中、粗砂,已知其承载力特征值fak=160kPa,重度γ=18kN/m3,压缩模量Es=18MPa;
③该建筑场地是很厚的淤泥质土,已知其承载力特征值fak=70kPa,重度γ=17.5kN/m3,压缩模量Es=1.7MPa。
2.若砂垫层的厚度为1.5m,条基宽度b=1.5m,则垫层底面的附加压力pz最接近于( )kPa。
A60
B65
C70
D75
正确答案
答案解析
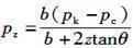
根据《建筑地基处理技术规范》(JGJ 79—2012)第4.2.2条规定,垫层的厚度z应根据需置换软弱土(层)的深度或下卧层的承载力确定,对于条形基础,应按下式计算:式中,b为矩形基础或条形基础底面的宽度(m);pk为相应于荷载效应标准组合时,基础底面处的平均压力值(kPa);pc为基础底面处土的自重压力值(kPa);z为基础底面下垫层的厚度(m);θ为垫层的压力扩散角,宜通过试验确定,当无试验资料时,可按表5.2.7采用。
由此可知,B项数值最为接近。
式中,b为矩形基础或条形基础底面的宽度(m);pk为相应于荷载效应标准组合时,基础底面处的平均压力值(kPa);pc为基础底面处土的自重压力值(kPa);z为基础底面下垫层的厚度(m);θ为垫层的压力扩散角,宜通过试验确定,当无试验资料时,可按表5.2.7采用。
由此可知,B项数值最为接近。