单选题
某高层住宅楼(丙类建筑),设有两层地下室,地面以上为16层,房屋高度45.60m,室内外高差0.30m,首层层高3.3m,标准层层高为2.8m。建于8度地震区(设计基本地震加速为0.2g,设计地震分组为第一组,Ⅱ类建筑场地)。采用短肢剪力墙较多的剪力墙结构,l~3层墙体厚度均为250mm,地上其余层墙体厚度均为200mm,在规定水平地震作用下其短肢剪力墙承担的第一振型底部地震倾覆力矩占结构底部总地震倾覆力矩的45%。其中一榀剪力墙一至三层截面如图所示。墙体混凝土强度等级7层楼板面以下为C35(fc=16.7N/mm2,ft=1.57N/mm2),7层以上为C30,墙体竖向、水平分布钢筋以及墙肢边缘构件的箍筋均采用HRB335级钢筋,墙肢边缘构件的纵向受力钢筋采用HRB400级钢筋。[2011年真题]
4.已知二层某连梁截面尺寸为250mm×600mm,ln=1100mm,抗震等级为二级,as=as’=35mm,箍筋采用HRB335级钢筋(fy=300N/mm2),连梁左、右端同时针方向考虑地震作用组合的弯矩设计值
重力荷载代表值作用下,按简支梁计算的连梁端截面剪力设计值Vgh=10kN。试问,该连梁满足《高层建筑混凝土结构技术规程》(JGJ 3—2010)抗震设计要求的最小箍筋配置(双肢箍)应取下列何项?( )
4.已知二层某连梁截面尺寸为250mm×600mm,ln=1100mm,抗震等级为二级,as=as’=35mm,箍筋采用HRB335级钢筋(fy=300N/mm2),连梁左、右端同时针方向考虑地震作用组合的弯矩设计值
重力荷载代表值作用下,按简支梁计算的连梁端截面剪力设计值Vgh=10kN。试问,该连梁满足《高层建筑混凝土结构技术规程》(JGJ 3—2010)抗震设计要求的最小箍筋配置(双肢箍)应取下列何项?( )AΦ8@100
BΦ10@100
CΦ10@150
DΦ12@100
正确答案
答案解析
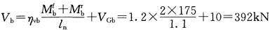
连梁跨高比ln/hb=1100/600=1.83<2.5,根据《高层建筑混凝土结构技术规程》(JGJ 3—2010)第7.2.21条式(7.2.21-1)计算,连梁的剪力设计值为:根据式(7.2.23-3)计算,满足规范、规程最低要求的抗剪钢筋面积为:
根据表6.3.2-2可知,在二级抗震等级连梁的箍筋构造要求中,其最小直径为8mm,最大间距:
![]()
则
根据式(7.2.23-3)计算,满足规范、规程最低要求的抗剪钢筋面积为:
根据表6.3.2-2可知,在二级抗震等级连梁的箍筋构造要求中,其最小直径为8mm,最大间距:
则
