单选题
某城市郊区有一30层的一般钢筋混凝土高层建筑,如图所示。地面以上高度为100m,迎风面宽度为25m,按50年重现期的基本风压w0=0.60kN/m2,风荷载体型系数为1.3。
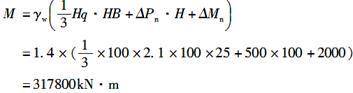
2.假定作用于100m高度处的风荷载标准值wk=2.1kN/m2,又已知突出屋面小塔楼风剪力标准值ΔPn=500kN及风弯矩标准值ΔMn=2000kN·m,作用于100m高度的屋面处。设风压沿高度的变化为倒三角形(地面处为0)。在地面(z=0)处,风荷载产生倾覆力矩的设计值最接近于( )kN·m。
2.假定作用于100m高度处的风荷载标准值wk=2.1kN/m2,又已知突出屋面小塔楼风剪力标准值ΔPn=500kN及风弯矩标准值ΔMn=2000kN·m,作用于100m高度的屋面处。设风压沿高度的变化为倒三角形(地面处为0)。在地面(z=0)处,风荷载产生倾覆力矩的设计值最接近于( )kN·m。A218760
B233333
C303333
D317800
正确答案
答案解析
风压沿高度的变化为倒三角形,在100mm高度处风压为:q=wk=2.1kN/m2;则风荷载产生的总倾覆力矩为:由此可知,D项数值最为接近。
由此可知,D项数值最为接近。