单选题
某三跨框架结构,抗震等级为二级,边跨跨度为5.7m,框架梁截面宽250mm,高600mm,柱宽为500mm,纵筋采用HRB335钢,箍筋采用HPB300钢,混凝土强度等级为C30,重力荷载引起的剪力VGb=135.2kN。在重力荷载和地震作用组合下作用于边跨一层梁上的弯矩为:
梁左端:Mmax=210kN·m,-Mmax=-420kN·m;
梁右端:Mmax=175kN·m,-Mmax=-360kN·m;
梁跨中:Mmax=180kN·m;
边跨梁:V=230kN。
1.计算梁跨中截面正截面所需纵筋As,最接近于( )mm2。
A393
B685
C850
D1170
正确答案
答案解析
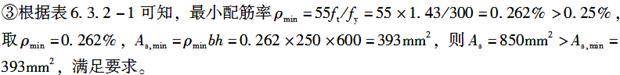
根据《高程建筑混凝土结构技术规程》(JGJ 3—2010)相关条例,具体计算如下: ①由于M=180×106N·mm,则截面抵抗矩系数为:②由于
选取2φ25,实配面积As=982mm2,
![]()
由此可知,C项数值最为接近。
②由于
选取2φ25,实配面积As=982mm2,
由此可知,C项数值最为接近。