单选题
某抗震等级为二级的高层框架结构,首层的梁柱中节点,横向左、右侧梁截面尺寸及纵向梁截面尺寸如图所示。梁柱混凝土强度等级为C30,fc=14.3MPa,ft=1.43MPa,as=as′=60mm。节点左侧梁端弯矩设计值
右侧梁端弯矩设计值
上柱底部考虑地震作用组合的轴向压力设计值N=3484.0kN,节点上下层柱反弯点之间的距离Hc=4.65m。
3.下列关于节点核心区的箍筋配置最合适的是( )。
右侧梁端弯矩设计值
上柱底部考虑地震作用组合的轴向压力设计值N=3484.0kN,节点上下层柱反弯点之间的距离Hc=4.65m。
3.下列关于节点核心区的箍筋配置最合适的是( )。A双向4肢φ8@100
B双向4肢φ8@120
C双向4肢φ8@150
D双向4肢φ10@100
正确答案
答案解析
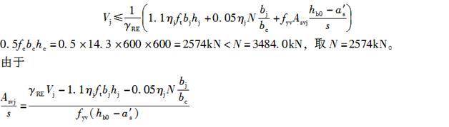
根据《建筑抗震设计规范》(GB 50011—2010)附录D第D.1.4条规定,节点核心区截面抗震受剪承载力应满足:![]()
故可按构造配筋,根据第6.3.10条规定,抗震等级为二级的箍筋特征值不小于0.10,体积配筋率不小于0.5%,箍筋直径不宜小于8mm,故取双向四肢10@100; 根据第6.3.9条第3款第1项式(6.3.9)计算,其体积配箍率为:
故可按构造配筋,根据第6.3.10条规定,抗震等级为二级的箍筋特征值不小于0.10,体积配筋率不小于0.5%,箍筋直径不宜小于8mm,故取双向四肢10@100;
根据第6.3.9条第3款第1项式(6.3.9)计算,其体积配箍率为:
