单选题
某抗震等级为二级的高层框架结构,首层的梁柱中节点,横向左、右侧梁截面尺寸及纵向梁截面尺寸如图所示。梁柱混凝土强度等级为C30,fc=14.3MPa,ft=1.43MPa,as=as′=60mm。节点左侧梁端弯矩设计值
右侧梁端弯矩设计值
上柱底部考虑地震作用组合的轴向压力设计值N=3484.0kN,节点上下层柱反弯点之间的距离Hc=4.65m。
1.节点的剪力设计值Vj最接近于( )kN。
右侧梁端弯矩设计值
上柱底部考虑地震作用组合的轴向压力设计值N=3484.0kN,节点上下层柱反弯点之间的距离Hc=4.65m。
1.节点的剪力设计值Vj最接近于( )kN。A973.52
B1182.43
C1414.96
D1476.48
正确答案
答案解析
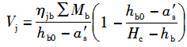
根据《建筑抗震设计规范》(GB 50011—2010)附录D式(D1.1-1)计算,二级框架节点核心区的剪力设计值为:由于节点两侧梁截面高度不等,采用平均值hb=(800+600)/2=700mm; 由于as=60mm,hb0=hb-as=700-60=640mm; 根据附录D第D.1.1条规定,二级框架,剪力增大系数ηjb=1.2,则该节点的剪力设计值为:
由此可知,B项数值最为接近。
由于节点两侧梁截面高度不等,采用平均值hb=(800+600)/2=700mm;
由于as=60mm,hb0=hb-as=700-60=640mm;
根据附录D第D.1.1条规定,二级框架,剪力增大系数ηjb=1.2,则该节点的剪力设计值为:
由此可知,B项数值最为接近。