试题详情

单选题
某现浇框架—核心筒高层建筑结构,地上35层高130m,内筒为钢筋混凝土,外周边为型钢混凝土框架,抗震设防烈度为7度,丙类,设计地震分组为第一组,设计基本地震加速度为0.1g,场地类别为Ⅱ类,阻尼比ζ=0.04,结构的基本自振周期Tl=2.0s,周期折减系数取0.8。 1.计算多遇地震作用时,该结构的水平地震作用影响系数α最接近于(  )。

A0.0172

B0.020

C0.022

D0.024

正确答案

答案解析

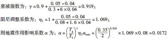
根据《建筑抗震设计规范》(GB 50011—2010)第5.1.4条表5.1.4-1可知,7度,水平地震影响系数最大值αmax=0.08;设计地震分组为第一组。根据第5.1.4条表5.1.4-2可知,特征周期值Tg=0.35s,阻尼比ζ=0.04;则根据第5.1.5条第2款规定,



由此可知,A项数值最为接近。

相关试题