试题详情

单选题
某高度45m钢结构,建于抗震设防烈度8度区,地震加速度0.2g,设计分组为第一组,场地类别为Ⅲ类,结构基本周期为1.0s。则与结构基本周期相应的地震影响系数,最接近于(  )。

A0.05479

B0.0678

C0.0780

D0.08214

正确答案

答案解析

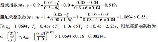
根据《建筑抗震设计规范》(GB 50011—2010)第8.2.2条第1款规定,不超过50m的钢结构在多遇地震作用下的阻尼比可采用0.04;又根据第5.1.4条规定,8度,设计分组为第一组,Ⅲ类场地时,αmax=0.16,Tg=0.45s;则根据第5.1.5条第2款规定,有:



由此可知,D项数值最为接近。

相关试题