单选题
某11层住宅,采用钢框架结构,其结构质量及刚度沿高度分布基本均匀,各层层高如图所示。抗震设防烈度为7度。
{图}
2.假定屋盖和楼盖处重力荷载代表值均为
G,与结构总水平地震作用等效的底部剪力标准值FEk=10000kN,基本自振周期T1=1.1s。试问,顶层总水平地震作用标准值F11Ek(kN),与下列( )项数值最为接近。
A3000
B2400
C1600
D1400
正确答案
答案解析
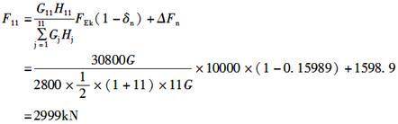
根据《高层民用建筑钢结构技术规程》(JGJ 99—98)第4.3.4条式(4.3.4-4)计算,顶部附加地震作用系数为:根据第4.3.4条式(4.3.4-3)计算,顶部附加地震作用为:ΔFn=δnFEk=0.15989×10000=1598.9kN;则顶层总水平地震作用标准值为:
由此可知,A项数值最为接近。
根据第4.3.4条式(4.3.4-3)计算,顶部附加地震作用为:ΔFn=δnFEk=0.15989×10000=1598.9kN;则顶层总水平地震作用标准值为:
由此可知,A项数值最为接近。