试题详情
首页
考试分类
首页
质量工程师
中级质量专业理论与实务
单选题
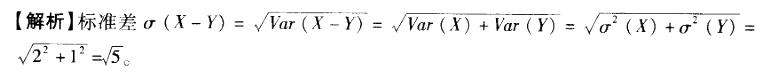
两个相互独立的随机变量X与Y的标准差分别为Var (X) =2和Vaa (Y) = 1,则其差的标准差σ(X-Y)=( )。
A
A
B
B
C
C
D
D
查看答案
正确答案
答案解析
相关试题
首页
每日一练
打赏一下
浏览记录