试题详情
首页
考试分类
首页
质量工程师
初级质量专业基础理论与实务
单选题
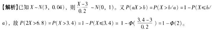
设 X~N(3,0.04),则 P(2X>6.8)=( )。
A
Φ(2)
B
1-Φ(2)
C
Φ(3.4)
D
1-Φ(3.4)
查看答案
正确答案
答案解析
相关试题
首页
每日一练
打赏一下
浏览记录