试题详情
首页
考试分类
首页
质量工程师
初级质量专业基础理论与实务
单选题
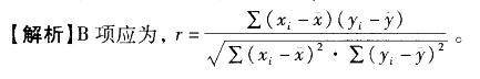
两个变量(x, y),其观测值为(xi, yi) i= l, 2,…,n。则简单相关系数r的表达式不正确的是( )。
A
A
B
B
C
C
D
D
查看答案
正确答案
答案解析
相关试题
首页
每日一练
打赏一下
浏览记录