试题详情
首页
考试分类
首页
质量工程师
初级质量专业基础理论与实务
单选题
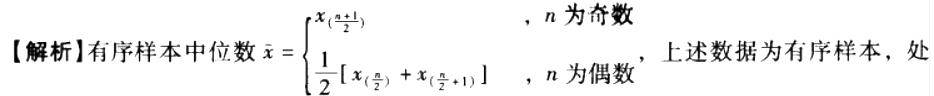
现有一组数据:2,3,4,4,5,5,5,5,6,6,7,7,8,共有13个数据,其样本中位数为( )。
A
4
B
5
C
5.5
D
6
查看答案
正确答案
答案解析
于中间位置的是第7个数据,即样本中位数为x(7) =5。
相关试题
首页
每日一练
打赏一下
浏览记录