单选题
甲、乙两村粮食平均亩产量分别为1000千克和1250千克,标准差分别为45千克和49千克,可以判断()。
A甲村的平均亩产量有较大的代表性
B乙村的平均亩产量有较大的代表性
C两个村的平均亩产量有相同代表性
D无法判断
正确答案
答案解析
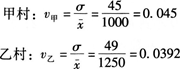
由已知资料可计算两者的标准差系数分别为:计算结果表明,甲村的平均亩产量的标准差系数大于乙村的平均亩产量的标准差系数,说明乙村的平均亩产量有较大的代表性。
计算结果表明,甲村的平均亩产量的标准差系数大于乙村的平均亩产量的标准差系数,说明乙村的平均亩产量有较大的代表性。