试题详情
首页
考试分类
首页
统计师
(中级) 统计相关知识
单选题
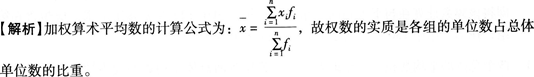
加权算术平均中权数的实质是()。
A
各组的单位数
B
总体单位数
C
各组的单位数占总体单位数的比重
D
各组的单位数与标志值的乘积
查看答案
正确答案
答案解析
相关试题
首页
每日一练
打赏一下
浏览记录