试题详情
首页
考试分类
首页
统计师
(中级) 统计相关知识
单选题
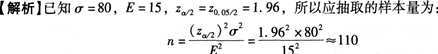
小区的写字楼月租金的标准差为80元,要估计总体均值95%的置信区间,希望的允许误差为15元,应抽取的样本量为()。
A
100
B
110
C
120
D
130
查看答案
正确答案
答案解析
相关试题
首页
每日一练
打赏一下
浏览记录